Iit Jam Mathematics Answer Key 2016
Set s = { 1 , 2 , 3 , 4 , 5 } and let a permutation a = (1 2 3 ) (1 4 5 ) then a99 is equal to __________.
Solution:
Set S = {1 , 2,3 ,4 ,5 } then by the definition of identity permutation a5 = I
where a = (1 2 3) (1 4 5)
Find the smallest subgroup of z containing 8 and 14 both.
Solution:
Let H be a subgroup of z containing 8 and 14. since z is a cyclic group so every subgroup of cyclic group is also cyclic.
i.e. H = [ m ] , where m ∈ H
Now 8 and 14∈ H = [ m ]
=> m | 8 and m | 14
=> m divides g.c.d ( 8 , 1 4 )
=> m | 2
=> either m = 1 or m = 2
If m = 1 then H = Z if m = 2 then H = [ 2 z ]
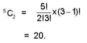
Let G be a group of order 200, then the no. of subgroups of G of order 50 is
Solution:
0(G) = 200
then integral divisor of 200 is 1 ,2 , 4, 10 ,20, 25,50,100, 200. which shows that G has all these subgroups with orders 1 , 2, 4, 10, 20, 25, 50,100 and 200 where order 1 and 200 subgroups are improper subgroups and remaining all are proper subgroups of group G, which show that G has only one subgroup of order 50.
Given axa = b in a group G , where a,b ∈ G then x is equal to
Solution:
If G be a group and a,b ∈ G
then
The generators of a group
are
Solution:
Here 0 ( G ) = 6 and G = [ a ]
then a cyclic group has generators of the type am where m < 6 [ m is co-prime to 6 ]
i.e. m = 1 , 5
Hence generators are a and a5.
If H be a subgroup of G, then H is normal in G, if
Solution:
By the theorem of normal subgroup. We know that if H is a subgroup of group G and H is normal in G then H is a subgroup of index 2 in G.
An element ap of a finite cyclic group G of order n is a generator of G if 0 < p < n and also
Solution:
G be a finite cyclic group and a ∈ G be the generator of G then by theorem we know that an element ap ∈ G 's also generator of finite cyclic group G if and only if p is co-prime with n [ order of the group G ] "If G = [ a] and G is finite with order n. then the other generators of G are of the form ar, where r is relatively prime to n.
Let G = {e, a, a2, a3, b, ab, a2b, a3b} with a4 = e, b2 = e, ab = a-1b and H = {e, a2, ab, a3b}, K = {e, a3b}then which one of the following is false statement ?
Solution:
Clearly, H and K are subgroups of H.
Hence, H is normal subgroup of G and K is normal subgroup of H.
But K is not normal subgroup of G. Since a3b ∈ K and b ∈ G We have, b(a3b)b-1 = ba3 ∉ K.
The no. of elements of order 5 in a symmetric group S5 is
Solution:
Order of element is 5 in the symmetric group S5 , i. e. we have to find total no. of cycles of length 5.
Given n = 5 and r = 5
Let G be a group of order 77. then, the centre of G is isomorphic to
Solution:
0 ( G ) = 77 = 7 x 11 ( p < q ) and p f q -1 then by a theorem we can say that G must be a cyclic group , i.e. G is an abelian group.
If G is an abelian then centre of group G is equal to G i.e. Z (G ) = G => 0 [ Z ( G ) ] = 7 7
if O [ Z (G) ] is 77 then Z(G) is isomorphic to Z(77)
S5 be the permutation group on 5 symbols, then number of element in S5 such that a5 = a2
Solution:
Given symmetric group is S5.
Then we have to find total no. of elements which satisfied the condition a5 = a2
i.e. a5 = a2 => a3 = e
so, find total no. of elements of order 3. i.e. total no. of cycles of length 3 in S5
Here r = 3 , n = 5
Which one of the following is smallest group ?
Solution:
In group ({e}, *) the set G = {e} has only one element,so it is smallest group. If G = (, *) then it is called empty set and ({}, *) is not a group.
Number of elements of order 3 in Z45 is
Solution:
By the theorem "Total no. of elements of order p in
, where p is prime and p , q are distinct primes is p -1"
According the theorem Z45 = i.e. p = 3 and total no. of elements in Z45 of order 3 is 3 -1 = 2
These element are 15,30.
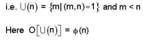
For any integer n > 2, how many elements in ∪(n) that satisfy X2 = 1
Solution:
∪(n) is a group which contains only those elements which are co - prime with n.
then it is result that U(n) where n > 2 satisfy X2 = 1 contains atleast two elements
The no. o f cosets of H in G ,where G = ( Z , + ) and H = ( 8Z , + ) is
Solution:
Here total no. of cosets are 8. Because by general result subgroup mZ has m different total cosets.
different cosets are
these ail 8 cosets are distinct cosets 0 + 8Z.
The no. of element of order 10 in Z30 is
Solution:
Since the number of elements of order d in a cyclic group of order n is d,where d is the divisor of n.
So no. of elements of order 10 in Z30 is
Which one of the following is a cyclic group ?
Solution:
We know that every group of prime order is cyclic , and simple. Here 0(G) = 71 is prime no.Hence it is a cyclic group.
The order of abelian simple group should be
Solution:
Let G be an abelian and simple group then each subgroup of G is normal (as G is abelian).It being simple.lt contains no non-trivial subgroups. Hence G contains only trivial subgroups i.e. G is finite of prime order.
If H be normal in G such that 0 (H) and
are co-prime then
Solution:
Let 0(H) = m
Suppose K is a subgroup of G of order m
Since H is normal
Thus 0(HK)|0(G)
Thus d = m and hence
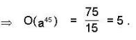
Let a be an element of a group G and 0(a) = 75 then find the order of the element a45.
Solution:
Let a be an element of a group G and 0(a) = 75 , then by the theorem if 0(a) = n
then
, where d =gcd (75, 45) = 15
Let G be a group with identity e such that for some a ∈ G , a2 ≠ e and a6 = e then which of the following is true ?
Solution:
Given that Gbe a group with identity e such that a2 ≠ e and a6 = e , for some a ∈ G.
if a2 ≠ e ⇒ a4 ≠ e and a6 = e ⇒ a5 = a ⇒ a5 ≠ e
Let G
where a , b , c, d are integers modulo 2 } then
Solution:
The members of G are
Clearly, G satisfies all group axioms Hence G is a group of order 6.
If H1 and H2 are two right cosets of subgroup H , then
Solution:
Let G be a group and H be a subgroup of group G , then by the well known result "Any two left (Right) cosets of a subgroup are either identical or disjoint.
i.e. Either H1 ∩ H2 = φ or H1 = H2
Statement A: All cyclic groups are abelian. Statement B: Every simple groups are cyclic.
Solution:
By the properties of cyclic group it is clear that all cyclic group are abelian and every group of prime order is simple group i.e. Every simple group must be cyclic.
If H and K are subgroups of order 6 and 8 respectively, then the minimum no. of elements of product set HK is
Solution:
Given 0(H) = 6 and 0(K) = 8
Here H∩K is subgroup of H and K both i.e
so O(H∩K) is possible 1 and 2
minimum no. of elements of product set HK is 24.
Find the total no. of non -isomorphic abelian group of order 32.
Solution:
By the result "total no. of non - isomorphic abelian group of order pn , where p is a prime no. is equal to the no. of partitions of n."
Here O(G) = 32 = 25
Here n = 5 and p = 2
total no. of partitions of 5 are 7.
{1 + 1+1 + 1 + 1 , 1 + 1+1 + 2 , 2 + 3 , 2 + 2 + 1 , 3 + 1+1,4+1,5}
How many elements of order 5 in A6 ?
Solution:
A6 is group of all the even permutation and a cycle of odd length is called even permutation. Here 5 length cycle is even permutation, 5 is prime then total no. of elements of 5 in A6 is
If order of any group G is 144 then find total no. of subgroup of group G.
Solution:
0(G) = 144 (given)
⇒ 0(G) = 24 x 32 = 144
∴144 = 24 x 32
no. of divisor = (4 + 1) (2 + 1)
= 5 x 3 = 15
Let G be a simple group of order 168. What is the no. of subgroups of G of order 7 ?
Solution:
0(G) = 168
=> 0(G) = 23 x3x7
By sylow's third theorem we know that total no. of subgroup of order p (1 + k p) where k= 0 , 1 , 2 ......
Here p = 7 then total no. of subgroups of order 7 are (1 + 7 k )
if k = 0 then 1 + 7k= 1 and 1|168.
if k = 0 then 1+7k = 8 and 8 | 168
so , either k = 0 or k = 1
If k = 0 then subgroup of order 7 is unique and unique subgroup is always normal .
But given that G is simple group and simple group does not contains any proper normal subgroup.
Hence k ≠ 0 , so , k = 1
i.e. G has 8 subgroups of order 7.
Find the total no. of elements of order 5 in a abelian group of order 10.
Solution:
Given 0 ( G ) = 1 0 = 2 x 5
Here 2 < 5 and 2 | 5 -1
but also given that G is an abelian group , so it is cyclic also
[ By the result if G is abelian and 0 ( G ) = pq (P < q) and p | q -1 then G is cyclic ]
Here G be a cyclic group of order 10.
So , total no. of elements are 4.
*Multiple options can be correct
Let cyclic group
and group G' ={x : x is a solution of xn = 1} , then which of the following is/are true?
Solution:
By the definition of cyclic group we know that "A group is said to be cyclic if it can be generated by a element a ∈ G,
i. e. every elements of group G can be expressed as a some integral power of an element a ∈ G .
Here
be a cyclic group.
Similarly the multiplicative of nthroots of unity is also a cyclic group.
*Multiple options can be correct
Which statements is/are true ?
Solution:
It is a very well known result that "Every cyclic group is an abelian group but converse of the theorem is not necessary true",
i.e. Every abelian group is cyclic is not necessary true it may be or not. Similarly Every group of prime order is cyclic but a group of composite order cyclic it is not necessary true.
*Multiple options can be correct
Let Sn be symmetric group on n symbols and An be the alternating subgroup of Sn , then
Solution:
The alternating group An of all even permutations of degree n is a normal subgroup of the symmetric group
Let
Here two cases are arise,
case I : If α is an even permutation then α-1 is also even,
Hence
case II : if α is an odd permutation then α-1 is also, then
So , Here we can see that
we know that
then
*Multiple options can be correct
Consider the symmetric group S5 then which one of the following is/are true ?
Solution:
An element of S5 is of order 6 if and only if it is product of two disjoint cycles of one of length 2 and another of length 3.
lf S = { a , b , c , d , e } then an element of order 6 is of the type (a b c) (d e)
Similarly , an element of S5 is of order 2 is a cycle of length 2.
and 3 length cycles are
*Multiple options can be correct
If G be a group of order p q r , p < q < r all three no. are primes then which of the following is/are true?
Solution:
It is a very well known theorem that " If G be a group o f order p q r ,
p < q < r being primes , then all the subgroup of order r is normal in G.
Hence option (A) is correct.
Again group G has a normal subgroup of order pq .
and , if q + (r -1) then G has a normal subgroup of order q.
But it is not necessary that the subgroup of order p is normal, it may be or not.
*Multiple options can be correct
If in a group G , a5 = e , aba-1 = b2 for a,b∈ G then ,
*Multiple options can be correct
If G is an abelian group , then which of the following is/are true?
Solution:
If G is an abelian group , then
*Multiple options can be correct
Let a mapping f : G→ G defined by f (x) = x-1 , then which of the following is / are true ?
Solution:
F : G→ G defined by
Let G be a commutative group and
Hence F : G→G is a isomorphism.
So f is an automorphism.
*Multiple options can be correct
Let S3 be symmetric group on three number 1,2 and 3 and N(a) , Z(G) are normalizer of a and centre of G respectively, then which of the following is/are true? [ I denotes identity element of S3 ]
Solution:
Definition of normalizer of a and centre of G is
N(a) ={ X∈ G|ax = xa }
Hence N(l) = S3 always.
option B : N(13 contains (12) if (12)(13) = (13)(12)
but (1 3 )(1 2 ) ≠ (1 3 )(1 2) so (1 2 )∉ N (1 3)
i.e N(13) = {l,(13)}
option C : if Sn symmetric group then centre of symmetric group contains only identity element Z(S3) = I
option D : N(12) = {1,(12)} is true by the definition of normalizer.
*Multiple options can be correct
Let G be a non abelian group then it's order can be
Solution:
option A : 0(G ) = 25 = 52
if 0(G) = p2 then G must be an abelian group.
option B : 0(G) =125 = 53
if 0(G) = p3 then it is not necessary that G be a abelian group
option C : 0(G) = 55 = 5 x 11
By a result we know that if 0(G) = pq where p < q and
then G be a cyclic group but, if p < q and p | q -1 then it is not necessary G be a cyclic group.
Here 5 < 11 but 5 |11-1
Hence group of order 55 is a non abelian group,
option D O(G) = 35 = 5 x 7
Here 5 < 7 and
Hence group G with order 35 is cyclic and every cyclic group is abelian group also.
*Answer can only contain numeric values
Let f be a homomorphism from ( z , + ) to ( G , X ) such that
,then find the value of f(6).
Solution:
Given that f ; (z, + ) ( G, X) be a homomorph is m such that
then
f(6) = f(3+3) = f(3) f(3)
[ ∵ it is a homomorphism ]
*Answer can only contain numeric values
If G is a group of order 23 then find total no. of subgroups of group G.
Solution:
Since 23 is prime, it's divisors are 1 and 23. Hence if H ⊆ G then by lagrange's theorem O(H) divides O(G).
So that 0(H) = 1 or 23.
if O(H) = 1 => H ={e}
if O(H) = 23 =>H = G
Which shows that G has only trivial subgroups.
Total no. of subgroups are 2.
*Answer can only contain numeric values
If K is proper subgroup of H and H is a proper subgroup of G , where O(k) = 35 and 0(G) = 700, then how many subgroups H are possible ?
Solution:
Let 0(H) = m then by lagrange's theorem 0(H) | 0(G) and 0(K) | 0(H).
i.e. 35|m and m | 700
Thus m is multiple of 35 and divisor of 700.
Now 700 = 35 x 20
So, the possible values of m are 35, 2 x 3 5 , 4 x 3 5 , 5 x 3 5 , 10 x 3 5 , 20x35, i.e. 3 5 ,7 0 ,140 ,175 ,350 ,700 .
But K is proper subgroup of H, m ≠ 35 and H is proper subgroup of G, m ≠ 700.
Hence the possible orders of H are 70 ,140,175 and 350 total possible H are 4
*Answer can only contain numeric values
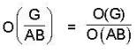
If 0(G ) = 60 and A , B are normal sub - group o f order 2 , 3 respectively then find the order of group G/AB
Solution:
and we know that
If 0(A) = m and 0(B) = n then
*Answer can only contain numeric values
Let σ be the permutation If I be the identity permutation and m be the order of σ i.e. m = min { positive integers
then find the value of m.
Solution:
Here m is order of the permutation order of permutation = L.C.M (disjoint cycles)
*Answer can only contain numeric values
If order of a group is 125 then what is the order of center of G ?
Solution:
By a well known theorem we know that if
and O[N(a) ] = p2 , where a ∈ G and p be any prime no. 5
Here given that O(G) = 125 = 53
then O[Z(G)] = 5
*Answer can only contain numeric values
For the quotient group Z/50Z , find the total no. of subgroups of quotient group.
Solution:
Let K be subgroup of
, then
for some subgroup H of Z , such that
Now we have to find all subgroups of Z that contains 50Z, i.e we have to find all the +ve divisiors of 50, which are 1,2,5,10,25,50
Hence Z/50Z has 6 subgroup.
*Answer can only contain numeric values
Find total no. of all the generators of the cyclic group
Solution:
By a Result we know that "a cyclic group (Zp ,tp ) have (p - 1 ) generators,
have total no. of generators (7 -1) = 6 .
*Answer can only contain numeric values
Find the total no. of proper subgroups of a cyclic group G = [ a ] of order 40.
Solution:
By lagrange theorem we know that, If G be a group and H be a subgroup of group G , then order of H divides order of G.
Hence all the divisors of 40 are order of subgroup of group G.
All the divisors are → 1 , 2 , 4 , 5 , 8 , 1 0 , 2 0 , 4 0 but order 1 and order 40 are improper subgroup of group G , Hence total proper subgroup are 6.
*Answer can only contain numeric values
Find the total no. of all non - abelian groups of order 6.
Solution:
Let G be a non - abelian group of order 6 , then by Cauchy's theorem
Such that O(a) = 3 , O(b) = 2 .
Let H = < a > then 0(H) = 0(a) = 3.
Since index of H in G is 2 , Hence H is normal in G.
if b ∈ H then
2 |3 which is contradiction, so b ∈ H
H and Hb are distinct right cosets of H in G.
Hence
also H is normal in
If b-1ab = a > then as (0(a) , 0(b)) = 1 , we get O(a b) = 0(a) 0(b) = 6 i.e. G is cyclic and so , abelian, which is not so ,
So , there is only one non - abelian group G of order 6 , namely
*Answer can only contain numeric values
Let the order of group G is 47, then find out the total no. of proper subgroup.
Solution:
Since 47 is a prime no. i. e. group G has no proper subgroup.
Note: It is a well known theorem that Every group of prime order is a simple group and simple group has no proper normal subgroup.
*Answer can only contain numeric values
How many generators are exists for the cyclic group of order 26.
Solution:
Let G = [ a ] be a cyclic group . then generators of this group is of the from am
where m < 26 . [ Co-prime of 26 ]
Hence m = 1, 3 ,5 , 7 , 9 , 1 1 , 15 ,17 ,1 9,2 1 ,23 ,25 total generators are 12.
*Answer can only contain numeric values
If G = [ a] be acyclic group of order 625 and H = [a5] be cyclic subgroup of G, then what is the order of subgroup ?
Solution:
By the theorem "If G = [ a ] is a cyclic group of order n and H = [ap] , then H is a cyclic subgroup of G is of order n/d where d = HCF (n ,p)."
Here O(G) = 625 i.e. n = 625
*Answer can only contain numeric values
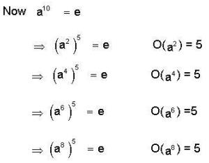
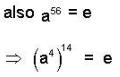
Let G be any group of order 224 and a∈ G be an element of order 56. then calculate the order of a4.
Solution:
[∵
G is a cyclic so order of group and it's generators both are same]
which shows that O(a4) = 14 .
*Answer can only contain numeric values
S3 be a group of all permutations on three symbols, with the identity elements, then the no. o f elements in S3 is ____ , that satisfy the equation x2 = e.
Solution:
We know that O(S3) = 6
S3 = {(1) (12) (23) (31) (123) (132)}
Here it is clear that total no. of elements of order 2 are 3.
But we have to find all those elements in S3 which satisfied the equation x2= e
Here identity elements is also satisfied this condition.
So total no. of elements
= 3 + 1
= 4
*Answer can only contain numeric values
If O(G) = 21 and G is non abelian then the total no. of elements in centre of G is ________.
Solution:
if O(G) = 21 and G is non abelian then by a well known result we know that
which implies G is abelian but given that G is non abelian.
Hence only possibility is 0[z(G)] = 1 i.e z(G) = {0}
*Answer can only contain numeric values
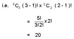
Let S1 = {2 }, S2 = { 4 , 6 } , S3 = { 8 , 1 0 . 1 2 } ,S4 = { 14 , 16 , 18 , 20 } and so on then sum of elements of S10 is __________ .
Solution:
Hence sum of elements of S10is equal to
*Answer can only contain numeric values
The number of distinct group homomorphisms from (z, +) onto (z, +) is _________.
Solution:
( z ,+) is infinite cyclic group.
In ( z , + ) total no. of auto morphism is 2.
So , No. of distinct group homomorphism from ( z , + ) onto ( z , + ) is 2.
*Answer can only contain numeric values
The remainder, when 721001 is divided by 31 is ___________.
Solution:
*Answer can only contain numeric values
Find the total no. of homomorphism from
Solution:
In general,
there are a homomorphism from
where d = g.c.d (m,n)
Hence by this formula
d = g.c.d (4,6)
d = 2 homomorphism from the group
Iit Jam Mathematics Answer Key 2016
Source: https://edurev.in/course/quiz/attempt/-1_IIT-JAM-Mathematics-MCQ-Test-16/5f31af6d-3062-49e6-ae3e-2be27b4e1a01
Posted by: thrushhaid1988.blogspot.com

0 Response to "Iit Jam Mathematics Answer Key 2016"
Post a Comment